01_Capacity vs Coverage
☾ Capacity
1초에 전송할 수 있는 데이터량
☾ Coverage
데이터의 범위
Capacity와 Coverage는 반비례 관계
Capacity와 Frequency band는 비례 관계
frequency ↓ → range ↑ → rate ↓
frequency ↑ → range ↓ → rate ↑

02_Internet
☾ Internet
network of networks
작은 네트워크 여러 개가 연결되어 있는 광범위한 네트워크의 집합
hosts
end systems
packet switches
packet을 전달하는 역할
- packet : 데이터를 전달할 때 자르는 단위
communication links
어떤 방법으로 데이터를 전달할지
fiber(섬유), copper(구리), radio, satellite(위성)
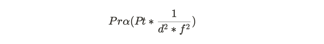
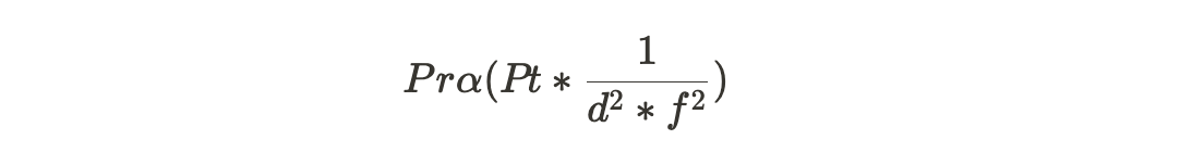
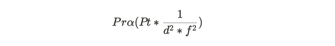
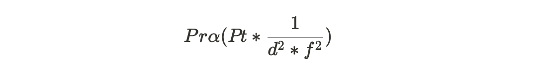
bandwidth
전송률(bits per second)

B : bandwidth(내가 사용할 수 있는 frequency band)
P : power
N : noise
→ 아무리 power가 강해도 noise 심하면 C 낮음. 반대로 아무리 power가 약해도 noise 적으면 C 높음
⇒ 상대적인 비율이 중요
networks
end devices, packet switches를 다 연결한 것
Infrastructure
인프라는 application에 programming interface(e.g. API)를 제공한다.
03_Protocol
☾ Protocol
packet을 전달할 때 사용되는 약속
네트워크 entity 간의 주고받는 메시지가 어떤 format, order이어야 하고, 어떤 action을 취해야 하는지를 정의
데이터 종류에 맞게 전송 방법을 다르게 해야 하는데 규칙 없으면 혼란 → 표준 약속 필요
모든 컴퓨터들이 똑같이 이해하고 해석할 수 있어야 한다.
e.g., HTTP, TCP, IP, Wifi, 4G, Ethernet, …
04_Network edge
☾ Network edge(=hosts)
clients and servers
데이터를 packet 단위로 전송한다.
☾ Access network
1. Cable-based access
HFC(hybrid fiber coax)를 사용한다 → 비대칭. 파일 전송과 다운로드 속도 다름
FDM을 사용한다.
- frequency division multiplexing (FDM): 각각의 channel은 각각의 frequency bands를 통해 전송된다.
2. Digital subscriber line (DSL) : 전화선
존재하는 전화선에 voice와 data를 함께 전달
upstream과 downstream의 전송률 비대칭
3. Home network
cable or DSL modem
4. Wireless access networks : 무선 네트워크
access point를 거쳐서 무선 네트워크를 공유한다.
- Wireless local area networks(WLANs) : wifi
- 건물 내, 주위에서 사용(~30m)
- access point : 와이파이 공유기
- Wide-area celluar access networks : LTE, 5G
- 모바일 네트워크(~n0km)
- 멀리서도 사용 가능
- 멀어지면 다른 기지국에 연결됨(hand over)
5. Enterprise networks
유선과 무선 네트워크가 혼합됨
- Ethernet : 유선 네트워크
- Wifi : 무선 네트워크
- Internet : 5G celluar data
- Intranet : wifi
☾ Physical media
1. Guided media
signals이 고체의 매체를 통해 이동
- Twisted pair(TP)
2개의 절연 구리선
- Coaxial cable
2개의 전기가 잘 통하는 구리
양방향
FDM을 통해 특정 채널로 신호를 보낸다.
- Fiber optic cable
유리 섬유가 light pulses를 옮긴다.(전기×)
속도 빠르다.
제일 손실이 적다 → 에러 적다.
2. Unguided media
signals이 자유롭게 이동
- Wireless radio
무선 라디오
broadcast(1:n)와 half-duplex(1:1)처럼 단방향
reflection, obstruction by objects, interference의 영향을 받는다.
- Wireless radio 종류
- terrestrial microwave(지상파) : ~45 Mbps
- Wireless LAN(wifi) : ~n00Mbps
- wide-area(celluar) : 4G - ~n0Mbps / 5G - 500Mbps ~
- satellite(위성 통신) : ~45Mbps
05_Network core
☾ Network core
서로 연결되어 있는 routers
- edge router : end system과 core의 중간지점
- hosts가 어떻게 edge router와 연결?
: residential access nets
: institutional access networks (school, company)
: mobile access networks (WiFi, 4G/5G)
☾ Packet switching
packets은 한 router에서 다음 router로 이동하면서 목적지까지 도달한다.
각각의 packets은 full link capacity로 전송된다 → 최소한의 packet 거친다.
모든 packet은 다음으로 전송되기 전에 router에 도착해서 저장되어야 한다.
일반적인 컴퓨터에서 사용한다.
bursty(간헐적) 데이터의 경우 유리하다.
자원 공유가 효율적이고, call setup(회선 예약, 할당)이 없다는 장점이 있다.
갑자기 데이터가 몰리는 경우, buffer 오버플로우가 발생하고 데이터 손실 위험이 생긴다.
사람 우르르 오는 푸드코트 느낌
데이터를 packet 단위로 쪼개서 sequence 대로 전송한다 but 도착 순서는 보장하지 않는다.
packet은 routing, forwarding을 통해 특정 source → destination을 따라간다.
1. transmission delay = L (bit) / R (transmission rate)

- End-end transmission delay = 2L / R
2. Queueing delay
arrival rate > transmission rate일 때 발생(switch 내에서 발생)
packet이 Queue에서 대기하는 시간
만약 메모리(buffer)가 가득차면 packet이 lost된다.
- Routing : global action
source - destination 관점에서 어떻게 가는 게 효율적인지 결정한다.
e.g. A → B : 7 → 2 → 5→ 4
- Forwarding : local action
forwarding table을 참조해서 그 다음 홉을 찾아간다.
routing 이후에 실행된다.
☾ Circuit switching
End-end resources는 전용선이 할당되어있다.
dedicated resources : 공유 x
circuit은 call에 사용되지 않으면 쉬고 있다.
전통적인 전화 네트워크에 사용된다.
오디오나 비디오같은 실시간 데이터의 경우 유리하다.
예약하고 혼자만의 시간을 보내는 파인다이닝 느낌
전용 path 사용
노드 간의 reserved된 physical links
논리 채널(TDM, FDM)
한 번 call setup이 완료되면 전송 빠르다 but 효율성은 낮다
Frequency Division Multiplexing(FDM)
시간은 끊임없이 쓰고 frequency를 나누어 n개의 user를 동시에 한 회선으로 사용 가능하게 한다.
낮은 frequency band로 나뉜 광, 전자기파에서 사용된다.
Time Division Multiplexing(TDM)
frequency는 최대로 사용하고 시간을 나누어 0~1초는 A가, 1~2초는 B가 사용 가능하게 한다.
각각은 주기적인 슬롯을 할당받는다.
frequency band를 최대로 사용할 수 있다. 단, 할당받은 시간 동안에만.
☾ Packet switching vs Circuit switching
Packet switching이 circuit switching보다 더 많은 사용자를 수용할 수 있다.
Q. 1Gb/s 링크가 있을 때, 각각의 사용자는 active한 경우에 100Mb/s를 사용한다. 사용자가 active한 시간은 전체 시간의 10%이다.
- circuit switching
1 Gb / 100 Mb = 10^9 / (10^2 * 10^6) = 10 users
- packet switching
전체 사용자는 35명이라고 가정.
active 확률 = p(0.1)
inactive 확률 = p(0.9)
동시에 acvite하는 사용자가 10명을 초과하는 경우의 확률

따라서 packet switching의 경우, 10명보다 더 많은 사용자를 수용할 수 있다.
06_Internet structure
☾ Internet structure
hosts는 ISPs(Internet Service Providers)를 통해 인터넷을 연결한다.
ISP는 반드시 서로 연결되어야 한다.
Q. access ISP가 n개 있을 때, 어떻게 연결되나요?
만약 각각의 access ISP가 직접 연결하면 O(n^2) 복잡성이 된다.
→ 이를 해결하기 위해
각각의 access ISP는 global ISP로 보낸다.
access ISP와 global ISP 사이에 regional ISP로 연결되기도 한다.
여러 global ISP는 IXP(Internet exchange point)를 통해 서로 연결된다.
회사들은 Content provider network과 같은 독자적인 네트워크를 사용하기도 한다.
- ISP 구조
Tier 1 ISP : 국제적인 네트워크
PoP : point-of-presence
content provider networks : 사적인 네트워크
'Lecture' 카테고리의 다른 글
| [네트워크] Chap 3 - Data Transmission (0) | 2025.03.19 |
|---|---|
| [네트워크] Chap 2 - Protocol Architecture, TCP/IP, and Internet-based Applications (0) | 2024.07.26 |
| [데이터베이스] SQL 질의 - 조인(JOIN), 부속질의(Subquery), 집합 연산 (0) | 2024.05.30 |
| [데이터베이스] 데이터 조작어(DML) - INSERT, UPDATE, DELETE, SELECT (0) | 2024.04.29 |
| [데이터베이스] 데이터 정의어(DDL) - CREATE, ALTER, DROP (0) | 2024.04.29 |