01_Transmission Media

02_Guided transmission media
☾ Twisted Pair
저렴하고 가장 많이 사용되는 guided transmission medium
2개의 절연 구리선이 나선형으로 엮여있다.
하나의 선이 single communication link
건물 내 전화 네트워크에서 주로 사용

- Unshielded Twisted Pair(UTP)
여러 개의 twisted pair를 모아둔 것
일반적인 전화선에서 사용
외부 전자기파 간섭에 약함
- shielded Twisted Pair(UTP)
여러 개의 twisted pair가 있을 때 신호가 다른 회로로 가지 않도록 막는 절연체 존재
좋은 성능 but 비쌈
Near-End Crosstalk(NEXT)
하나의 신호가 다른 쪽에 영향을 미치는 것
내 신호 < NEXT 인 경우 신호 약해짐
ACR(attenuation-to-crosstalk ratio) ↑ 신호 안정적

☾ Coaxial Cable
전도체 2개, 절연체 1개로 구성되어 있다.
안쪽에 wire conductor가 있고, 바깥쪽에 cylindrical conductor가 있다.
TV, 장거리, LAN에서 사용된다.
twisted pair보다 성능이 좋다.
노이즈에 의해 성능이 제한된다.
- analog : n0km마다 amplifier 필요하다. 500MHz까지 커버 가능하다.
- digital : 1km마다 repeater 필요하다.
☾ Optical Fiber
안쪽체 굴절률 ↑ core가 있고, 바깥쪽에 굴절률 ↓ cladding이 있다.
유리나 플라스틱으로 만든다.
장거리 통신에 사용된다.
capacity ↑. 높은 주파수, 넓은 대역폭도 커버 가능하다.
작고 가볍다.
attenuation ↓
전자기파 방해로부터 영향을 덜 받는다.
repeater를 적게 사용해도 된다.

03_Wireless transmission media
- 30MHz ~ 1GHz : multi-to-one. 사방으로 신호 퍼져나감(wifi)
- 1GHz ~ 40 GHz : 단방향
- 310^11 ~ 210^14 : local point-to-point
☾ Terrestrial Microwave(지상파)
지상에 2개의 dish를 두고 통신(point-to-point)
long haul telecommunications에 사용된다.
음성이나 TV 통신에 사용된다.
repeater ↓ line-of-sight가 필요하다.
frequency ↑ data rate ↑
☾ Satellite Microwave
두 개 이상의 dish 연결
broadcast link뿐만 아니라 point-to-point 통신에도 사용
국제적인 통신에서 사용
1 ~ 10GHz에서 가장 효율적(1GHz 이하는 노이즈가 심하고, 10GHz 이상은 attenuation이 심함)

☾ Broadcast Radio
누구나 사방으로 사용(local) / microwave는 단방향(terrestrial)
30MHz ~ 1GHz에서 사용 가능
line of sight 제한적
multipath interference를 겪는다.(간섭으로 인해 원래 신호만 도착하는 것이 아니라 원래 신호+attenuation+delay된 신호 여러 개가 도착)
☾ Infrared(적외선)
적외선을 사용한다.
단방향
line of sight
벽을 뚫지 못한다.
frequency 할당이 필요 없다.
04_Line of sight
- Ground-wave propagation : 지상 전파가 directional하게 이동

- Sky-wave propagation : 이온층에 전파를 반사해서 이동

- Line-of-sight(LOS) propagation

☾ Line-of-sight Transmission
loss 많이 발생한다.
대기 중 흡수가 되기도 한다.
multipath interference를 겪는다.(한 신호가 여러 경로로 오는 것)
굴절 존재

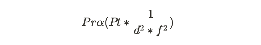
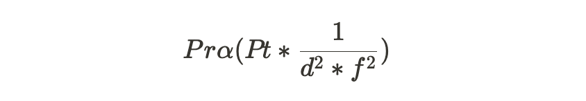
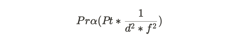
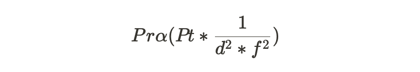
거리 ↑, 주파수 ↑ → loss ↑ 신호 세기 ↓
'Lecture' 카테고리의 다른 글
| [네트워크] Chap 5 - Data Encoding (0) | 2025.09.08 |
|---|---|
| [네트워크] Chap 3 - Data Transmission (0) | 2025.03.19 |
| [네트워크] Chap 2 - Protocol Architecture, TCP/IP, and Internet-based Applications (0) | 2024.07.26 |
| [네트워크] Chap 1 - Data Communications, Data Networking, and the Internet (0) | 2024.06.28 |
| [데이터베이스] SQL 질의 - 조인(JOIN), 부속질의(Subquery), 집합 연산 (0) | 2024.05.30 |